-
Polynomial Linear RegressionMLAI/Regression 2020. 1. 20. 19:43
1. Overview
2. Description

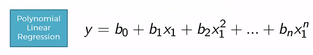
Instead of the linear regression, we're going to conductive Pono regression and that's, in this case, fits perfectly.

Why is it still called a linear regression if it's a polynomial regression? When we're talking about linear and nonlinear we're not actually talking about the X variables. You're talking about the coefficients here.
3. Reference
'MLAI > Regression' 카테고리의 다른 글
Cluster Analysis (0) 2020.01.20 Logistic Regression Statistics (0) 2020.01.20 Ordinary Least Squares Assumptions (0) 2020.01.20 Correlation vs Regression (0) 2020.01.19 Multiple Linear regression (0) 2020.01.19