-
Invertible matrix and Pseudo-inverseMath/Linear algebra 2019. 10. 8. 15:36
1. Overview
$$AB=BA=I_{n}$$

2. Description
2.1 Pre-requirement
A matrix is invertible if it is
- Square matrix
- Full rank
- Non-zero determinant
2.2 Properties
Let $A$ be a square n by n matrix over a field $K$ (for example the field $R$ of real numbers). The following statements are equivalent for any given matrix are either all true or all false:
- A is invertible, that is, A has an inverse, is nonsingular, or is nondegenerate.
- A is row-equivalent to the n-by-n identity matrix $I_{n}$.
- A is column-equivalent to the n-by-n identity matrix $I_{n}$.
- A has n pivot positions.
- det A ≠ 0. In general, a square matrix over a commutative ring is invertible if and only if its determinant is a unit in that ring.
- A has full rank; that is, rank A = n.
- The equation Ax = 0 has only the trivial solution x = 0.
- The kernel of A is trivial, that is, it contains only the null vector as an element, ker(A) = {0}.
- Null A = {0}.
- The equation Ax = b has exactly one solution for each b in $K_{n}$.
- The columns of A are linearly independent.
- The columns of A span $K_{n}$.
- Col A = $K_{n}$.
- The columns of A form a basis of $K_{n}$.
- The linear transformation mapping x to Ax is a bijection from Kn to Kn.
- There is an n-by-n matrix B such that AB = $I_{n}$ = BA.
- The transpose $A^{T}$ is an invertible matrix (hence rows of A are linearly independent, span $K^{n}$, and form a basis of $K^{n}$.
- The number 0 is not an eigenvalue of A.
- The matrix A can be expressed as a finite product of elementary matrices.
- The matrix A has a left inverse (that is, there exists a B such that BA = I) or a right inverse (that is, there exists a C such that AC = I), in which case both left and right inverses exist and B = C = $A^{-1}$.
- ($A^{-1})^{-1}$ = $A$;
- $(kA)^{-1}$ = $k^{-1}A^{-1}$ for nonzero scalar k;
- $(Ax)^{+}=x^{+}A^{-1}$ where + denotes the Moore-Penrose inverse and x is a vector;
- $(A^{T})^{-1}=(A^{-1})^{T}$;
- For any invertible n-by-n matrices A and B, $(AB)^{-1}=B^{-1}A^{-1}$. More generally, if $A_{1},\cdots , A_{k}$ are invertible n-by-n matrices, then $(A_{1}A_{2}\cdots A_{k-1}A_{k})^{-1}=A_{k}^{-1}A_{k-1}^{-1}\cdots A_{2}^{-1}A_{1}^{-1}$
- $det\: A^{-1}=(det\: A)^{-1}$
2.3 Calculate Inverse Matrix

2.3.1 Example

2.3 Proof of uniqueness


3. Pseudo-inverse



3.1 Properties
- Unlike the true inverses where $AA^{-1}=A^{-1}A=I$, with the pseudoinverse: $AA^{*}\neq A^{*}\neq AI$
- Can compress a rank-deficient matrix down to a size where it has a true inverse(e.g., via PCA), then the project back to the full space
- The Moore-Penrose pseudoinverse is unique, but there are other pseudoinverses
4. Example
4.1 Invertible example

The matrix $A$ is invertible. To check this, one can compute that $det\: A=-\frac{1}{2}$, which is non-zero
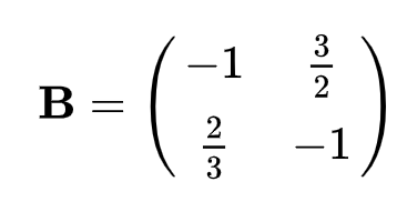
4.2 Non-invertible Example(Singular)

The determinant of $B$ is 0, which is a necessary and sufficient condition for a matrix to be non-invertible
5. References
'Math > Linear algebra' 카테고리의 다른 글
Field (0) 2019.10.10 Diagonalizable matrix (0) 2019.10.09 Cross-product (0) 2019.10.09 Dot product (0) 2019.10.09 Gauss Elimination and Gauss-Jordan Elimination (0) 2019.10.07